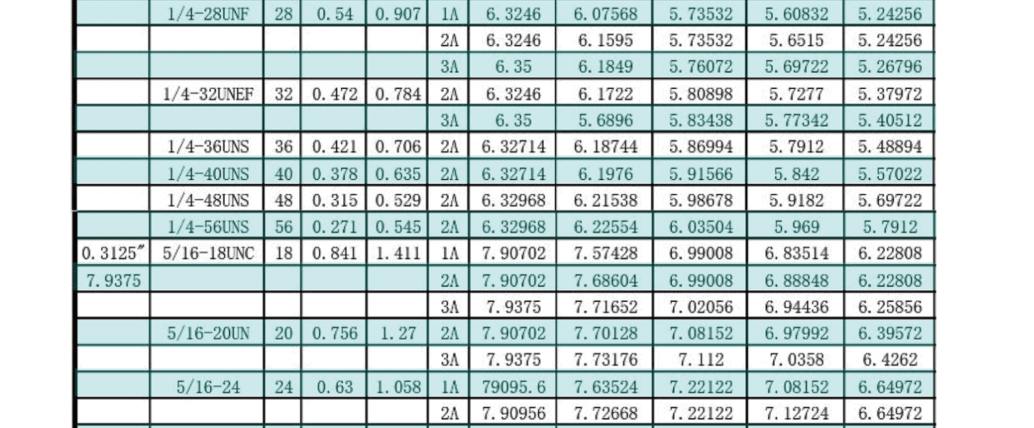
UN美製螺紋規範-外螺紋尺寸有哪些,UNC,UNF,UNS,NEF,UN
Tags:
NEF / UN / UNC / UNF / UNS / 圖表 / 外螺紋 / 尺寸 / 美製 / 螺紋

VVV

UN美製螺紋規範-外螺紋尺寸有哪些,UNC,UNF,UNS,NEF,UN

VVV
